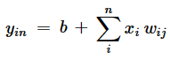
1. Input Layer : The input layer is the starting point of
the network and receives the initial data or features.
2. Hidden Layer : The hidden layer(s) are intermediate layers between the input and output layers.
3. Output Layer : The output layer is the final layer of the network, responsible for producing the desired output or prediction.